本文转自“梅斯医学”公众号
你是否曾有这样的经历:吃一顿普通的饭,肚子却胀得像个气球,甚至嗳气不止?是否感到上腹部经常性隐痛,总是挥之不去?又或者被口臭困扰,无论怎么刷牙都毫无改善?
如果你符合以上一种或多种情况,别忽视,这可能是幽门螺杆菌(H. pylori)敲响的警钟。作为一种常见的胃部细菌,幽门螺杆菌在我国的感染率高达50%,它不仅与胃炎、消化性溃疡、胃麦芽糖淋巴瘤等胃部疾病密切相关,还可能导致胃癌、不明原因的缺铁性贫血等更严重的健康问题。
好消息是,科学家们正不断揭开幽门螺杆菌的神秘面纱,为防治这种“餐桌杀手”提供了新的解决方案。
根除H. pylori有效预防胃癌
胃癌是极为常见的恶性肿瘤,也是全球癌症死亡的主要原因之一,而幽门螺杆菌是目前唯一确定的与胃癌发生密切相关的细菌性病原体。
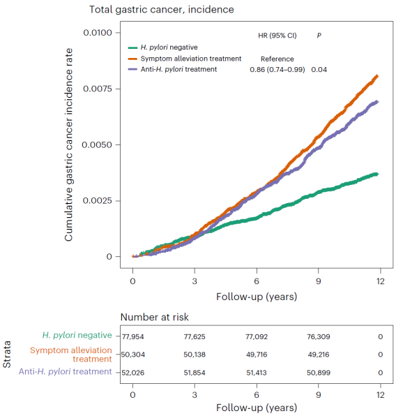
今年7月,一项发表在《Nature Medicine》杂志的题为“Gastric cancer prevention by community eradication of Helicobacter pylori: a cluster-randomized controlled trial”的研究,探讨了通过社区根除幽门螺杆菌来预防胃癌的有效性。研究采用了群集随机对照试验的方法,在山东省临朐县进行,涉及980个村庄的180,284名符合条件的参与者,随访时间长达11.8年。

研究人员使用13C-尿素呼气试验(13C-urea breath test, CUBT)来检测H. pylori感染情况,并将检测结果为阳性的个体随机分配到接受为期10天的四联抗H. pylori治疗方案(包括奥美拉唑、四环素、甲硝唑和铋剂)或单一的日常剂量奥美拉唑和铋剂的症状缓解治疗组。
研究的主要结果是胃癌的发病率。结果显示,接受抗H. pylori治疗的个体在意向治疗分析中胃癌发病率有所降低(风险比0.86,即降低了14%风险),并且在成功根除H. pylori的个体中观察到更强的效果(风险比0.81,即降低了19%风险)。此外,研究还观察到H. pylori阴性个体的胃癌发病率比接受症状缓解治疗的个体更低(风险比0.46,即降低了54%风险)。

抗H. pylori治疗降低胃癌患病率(图片来源:Nature Medicine 2024)
中国是胃癌的高疾病负担国家,胃癌发病率位列所有恶性肿瘤中的第4位、病死率的第3位。尽管本研究观察到的胃癌风险降低幅度适中,但考虑到中国胃癌的高发病率,即使基于保守的效果估计,通过H. pylori治疗每年可以预防超过85,000例胃癌新发病例。
研究还指出,H. pylori根除对总体死亡率或其他个体癌症的风险没有影响,缓解了关于H. pylori根除可能引起其他长期系统效应的担忧。研究结果支持从成年早期开始实施大规模H. pylori筛查和治疗,作为高风险社区胃癌预防的公共卫生政策和临床实践。
超加工食品:幽门螺杆菌的“助攻者”
除了医疗干预外,我们也需要关注日常生活中可能增加感染幽门螺杆菌风险的行为和习惯。近年来,研究发现,饮食结构对感染率有重要影响,其中,超加工食品(Ultra-Processed Foods, UPFs)成为一大隐藏风险。
相关研究于今年3月,发表在《Food Science & Nutrition》杂志上,论文题目为“Ultra-Processed food intake and risk of Helicobacter pylori infection: A case–control study”。

所谓的“超加工食品”是指在已经加工过的食品基础上再加工的食品,这类食品通常添加了多种食品添加剂,是典型的高糖、高脂、高热量的食品。那些我们习以为常的休闲小食,如薯片、汉堡、比萨,或是一杯看似无害的奶茶,可能正在悄悄给我们的胃带来隐患。它们共同的特点是高盐、高糖、高脂肪,而这些正是幽门螺杆菌喜欢的‘温床’。
研究采用了病例对照研究设计,共纳入了150名幽门螺杆菌感染患者和302名健康对照个体。研究团队通过问卷调查了参与者的饮食习惯,评估他们食用超加工食品的频率,并使用NOVA系统对其摄入量进行分类和分析。研究发现,UPFs的摄入与H. pylori感染风险增加有关(1.71倍)。在调整了年龄、体重指数(BMI)、性别、能量摄入、体力活动、吸烟和饮酒状态后,这种关联仍然存在(感染风险增加2.17倍)。

超加工食品的摄入增加H. pylori感染风险(图片来源:Food Science & Nutrition 2024)
这项研究警示我们,现代生活中司空见惯的饮食习惯,可能正在为幽门螺杆菌的侵入大开方便之门。减少超加工食品的摄入,或许是保护我们胃部健康的第一步。
新疗法助力青霉素过敏患者治疗
如果我们感染了幽门螺杆菌,可以采用传统的标准三联疗法(阿莫西林、克拉霉素和兰索拉唑)进行治疗。但是对于青霉素过敏的患者,往往需要采用更复杂的铋剂四联疗法。那么,除此之外,是否还有其他有效疗法呢?
今年8月,一项发表在《Gut》杂志上题为“Simplified Helicobacter pylori therapy for patients with penicillin allergy: a randomised controlled trial of vonoprazan-tetracycline dual therapy”的研究,评估了对于青霉素过敏患者,使用vonoprazan(一种新型钾竞争性酸阻断剂)和四环素(VT)双联疗法作为幽门螺杆菌感染的一线治疗的疗效和安全性。

研究采用了随机对照试验的方法,共纳入了300名治疗未经验成年人,他们均感染了H. pylori并有青霉素过敏史。
这些患者被随机1:1分配,接受为期14天的开放式标签VT双联疗法(vonoprazan 20 mg每天两次+四环素500 mg每天三次)或铋剂四联疗法(BQT:兰索拉唑30 mg每天两次+胶体铋150 mg每天三次+四环素500 mg每天三次+甲硝唑400 mg每天三次)。研究的主要结果是VT双联组与BQT组相比在根除率上的非劣性。次要结果包括评估不良反应。
研究发现,在意向治疗分析(ITT)中,VT组和BQT组的根除率分别为92.0%和89.3%,差异为2.7%;在修正意向治疗分析(mITT)中,根除率分别为94.5%和93.1%,差异为1.5%,;在方案分析(PP)中,根除率分别为95.1%和97.7%,差异为2.6%。VT组的治疗相关不良事件(TEAEs)显著低于BQT组(14.0%对比48.0%),因TEAEs中断治疗的比例也更低(2.0%对比8.7%)。

VT双联疗法与BQT疗法具有相当的疗效(图片来源:Gut 2024)
研究结果令人振奋:对于青霉素过敏患者,VT双联疗法不仅效果与传统方案旗鼓相当,还因为用药更简单、不良反应更少,成为治疗幽门螺杆菌的理想新选择!这无疑为许多患者提供了更便捷、更安全的治疗方案。
小结
幽门螺杆菌虽然隐藏在我们日常的饮食和生活中,但并非“不可防治”。从健康的饮食习惯到科学的医疗干预,我们有足够的手段来对抗这一“隐形杀手”:
●从饮食开始:少吃超加工食品,多选择新鲜、天然食材;聚餐时分餐制、公筷公勺是有效的预防手段。
●重视早期筛查:定期进行幽门螺杆菌检测,尤其是有胃部不适症状的人群,便于早发现、早治疗。
●选择合适疗法:青霉素过敏患者可以咨询医生,采用如VT双联疗法的创新治疗方案。
只有坚持科学防治和健康生活方式,幽门螺杆菌才不会成为威胁我们健康的“餐桌杀手”。现在就从你的下一顿饭开始,为健康投资,让胃部远离风险,共建更健康的未来!